概述
本技术文档旨在详细描述电机功率模型的建立和底盘功率控制算法的开发。该算法基于广东工业大学提供的电机功率公式,并对其进行了改进和优化,以适应超级电容系统的需求。
目录
- 简介
- 概念阐述与符号定义
- 电机功率模型
- 电机机械功率
- 电机功率模型
- 模型拟合
- 功率控制
- 传统功率控制方式
- 功率再分配
- 部署
- 部署常见问题
- 未来优化的方向
- 总结
- 展望
1. 简介
随着超级电容技术的出现,传统的基于缓冲能量的功率控制方法已不再适用。超级电容可以无条件补偿超出最大功率的能量,使得缓冲能量无法反映电机功率与最大功率的关系。因此,我们需要一个新的底盘功率控制算法来实现主动释放超级电容能量,为操作手提供更多战术选择。
2. 概念阐述与符号定义
2.1 变量符号定义
- 顺时针方向的力矩为正,逆时针方向的力矩为负。
- 顺时针方向的转速为正,逆时针方向的转速为负。
- 功率为正表示消耗功率,功率为负表示输出功率。
- 转速均为电机转子转速,来自C620电调反馈值。
2.2 Give current, Given current, 相电流&力矩
give_current和given_current分别代表发送给电机的控制量和电机反馈的控制量。- 力矩电流(Iτ)与力矩的关系:τ = KT × Iτ,其中KT为力矩电流常数。
3. 电机功率模型
3.1 电机机械功率
电机的输入功率主要由机械功率、铜损、磁损耗、控制器静态功耗组成。机械功率的计算公式为:

3.2 电机功率模型
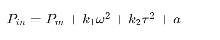
电机的输入功率与转速和力矩的二次项有关,经验公式为:

3.3 模型拟合
使用Matlab对电机参数进行拟合,通过不同组数据交叉验证数据仿真效果,最终选取了一个仿真程度较好的参数。
4. 功率控制
4.1 传统功率控制方式
通过比较发送的四个电机总的力矩目标值与预先设置好的总力矩阈值进行比较,将各个电机的目标力矩缩放到阈值之下来对功率进行限制。
4.2 功率再分配
为了实现电机恒功率启动,即保证从加速到匀速整个过程电机均工作在最大功率处,以实现理论最大加速度。
5. 部署
5.1 部署常见问题
- 拟合数据时电机不要空载。
- 走不直把功率均分看看。
6. 未来优化的方向
- 不同电机的齿轮箱阻尼系数不同,需要对电机功率模型的经验公式进行进一步优化。
- 需要额外的算法对输出功率进行调度,以兼容平衡步兵。
7. 总结
本文在广东工业大学原有模型基础上进行了分析与推导,建立出了更加完善的电机功率模型。该模型可以更好地利用电机减速时产生的反电动势,同时使用Matlab对参数进行拟合,减少了调参时间。
8. 展望
在未来,需要对该电机功率模型的经验公式进行进一步优化,探讨有无其他相关项。同时,为了兼容平衡步兵,需要额外的算法对输出功率进行调度。